2021 AIME I Problems/Problem 12
Problem
Let
be a dodecagon (
-gon). Three frogs initially sit at
and
. At the end of each minute, simultaneously, each of the three frogs jumps to one of the two vertices adjacent to its current position, chosen randomly and independently with both choices being equally likely. All three frogs stop jumping as soon as two frogs arrive at the same vertex at the same time. The expected number of minutes until the frogs stop jumping is
, where
and
are relatively prime positive integers. Find
.
Solution 1
Define the distance between two frogs as the number of sides between them that do not contain the third frog.
Let
denote the expected number of minutes until the frogs stop jumping, such that the distances between the frogs are
and
(in either clockwise or counterclockwise order). Without the loss of generality, assume that
We wish to find
Note that:
- At any moment before the frogs stop jumping, the only possibilities for
are
and 
does not depend on the actual positions of the frogs, but depends on the distances between the frogs.- At the end of each minute, each frog has
outcomes. So, there are
outcomes in total.
We have the following system of equations:
Rearranging and simplifying each equation, we get
Substituting
and
into
we obtain
from which
Substituting this into
gives
Therefore, the answer is
~Ross Gao ~MRENTHUSIASM
Solution 2 (Markov Chain)
- Main article: Markov Chains
We can solve the problem by removing
frog, and calculate the expected time for the remaining
frogs. In the original problem, when the movement stops,
of the
frogs meet. Because the
frogs cannot meet at one vertex, the probability that those two specific frogs meet is
. If the expected time for the two frog problem is
, then the expected time for the original problem is
.
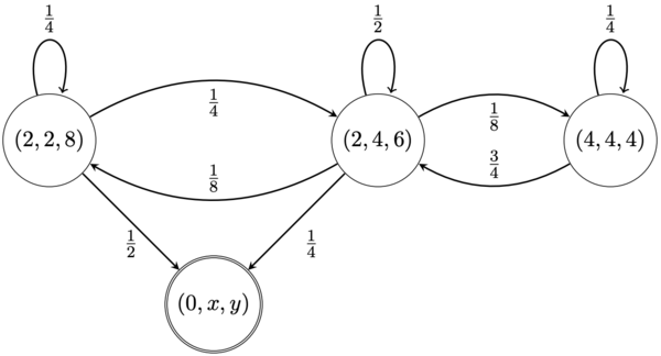
The distance between the two frogs can only be
,
,
,
. We use the distances as the states to draw the following Markov Chain. This Markov Chain is much simpler than that of Solution 1 Supplement in the Remark section.

By solving the above system of equations,
. The answer for the original problem is
,
Remark (Markov Chain)
Solution 1 Supplement
Solution 1 can be represented by the following Markov Chain:

- From state
to state
: the
frogs must jump in the same direction,
.
- From state
to state
:
frogs must jump in the same direction, and the other must jump in the opposite direction,
.
- From state
to state
: the
frogs with a distance of
in between must jump in the same direction so that they will be further away from the other frog, and the other frog must jump in the opposite direction as those
frogs,
.
- From state
to state
: the
frogs can all jump in the same direction; or the
frogs with a distance of
in between jumps away from each other and the other frog jumps closer to the closest frog; or the
frogs with a distance of
in between jump closer to each other and away from the third frog, the third frog jumps closer to the closest frog;
.
- From state
to state
: the
frogs with a distance of
in between must jump closer to the other frog and the other frog must jump close to those
frogs,
.
- From state
to state
:
frogs that have no frogs in between must both jump in the same direction away from the other frog, the other frog must also jump away from those
frogs,
.
- From state
to state
: the
frogs must all jump in the same direction,
.
- From state
to state
: frogs with a distance of
must jump closer to each other, the other frog can jump in any direction,
.
- From state
to state
: the frogs with a distance of
must jump closer to each other, the other frog can jump in any direction,
.
Because
, we can use
to represent the states which is simpler than using
in Solution 1.
Summary
The two above Markov Chains are Absorbing Markov Chain. The state of
frogs meeting is the absorbing state. This problem asks for the Expected Number of Steps before being absorbed in the absorbing state.
Let
, the probability that state
transits to state
on the next step.
Let
be the expected number of steps before being absorbed in the absorbing state when starting from transient state
.
is
plus the sum of the products of
and
of all the next state
,
.
2014 AMC 12B Problem 22 and 2017 AMC 12A Problem 22 are similar problem with simpler states, both problems can be solved by Absorbing Markov Chain.
Video Solution
https://www.youtube.com/watch?v=nt4xwt5Ldtc
~Math Problem Solving Skills
See Also
| 2021 AIME I (Problems • Answer Key • Resources) | ||
| Preceded by Problem 11 |
Followed by Problem 13 | |
| 1 • 2 • 3 • 4 • 5 • 6 • 7 • 8 • 9 • 10 • 11 • 12 • 13 • 14 • 15 | ||
| All AIME Problems and Solutions | ||
These problems are copyrighted © by the Mathematical Association of America.
.